D2L - 2.6. Probability and Statistics
2023. 10. 14. 00:22 |
https://d2l.ai/chapter_preliminaries/probability.html
2.6. Probability and Statistics — Dive into Deep Learning 1.0.3 documentation
d2l.ai
2.6. Probability and Statistics
One way or another, machine learning is all about uncertainty. In supervised learning, we want to predict something unknown (the target) given something known (the features). Depending on our objective, we might attempt to predict the most likely value of the target. Or we might predict the value with the smallest expected distance from the target. And sometimes we wish not only to predict a specific value but to quantify our uncertainty. For example, given some features describing a patient, we might want to know how likely they are to suffer a heart attack in the next year. In unsupervised learning, we often care about uncertainty. To determine whether a set of measurements are anomalous, it helps to know how likely one is to observe values in a population of interest. Furthermore, in reinforcement learning, we wish to develop agents that act intelligently in various environments. This requires reasoning about how an environment might be expected to change and what rewards one might expect to encounter in response to each of the available actions.
어떤 식으로든 머신러닝은 불확실성에 관한 것입니다. 지도 학습 supervised learning 에서는 알려진 것(특성)을 고려하여 알려지지 않은 것(목표)을 예측하려고 합니다. 목표에 따라 목표의 가장 가능성 있는 값을 예측하려고 시도할 수도 있습니다. 또는 대상으로부터 예상되는 거리가 가장 작은 값을 예측할 수도 있습니다. 때로는 특정 값을 예측하는 것뿐만 아니라 불확실성을 정량화하고 싶을 때도 있습니다. 예를 들어, 환자를 설명하는 일부 특징이 주어지면 해당 환자가 내년에 심장마비를 겪을 가능성이 얼마나 되는지 알고 싶을 수 있습니다. 비지도 학습 unsupervised learning 에서는 종종 불확실성에 관심을 갖습니다. 일련의 측정값이 비정상적인지 여부를 확인하려면 관심 모집단에서 값을 관찰할 가능성이 얼마나 되는지 아는 것이 도움이 됩니다. 또한 강화학습 reinforcement learning 에서는 다양한 환경에서 지능적으로 행동하는 에이전트를 개발하고자 합니다. 이를 위해서는 환경이 어떻게 변할 것으로 예상되는지, 그리고 사용 가능한 각 조치에 대한 응답으로 어떤 보상을 받을 수 있는지에 대한 추론이 필요합니다.
Probability is the mathematical field concerned with reasoning under uncertainty. Given a probabilistic model of some process, we can reason about the likelihood of various events. The use of probabilities to describe the frequencies of repeatable events (like coin tosses) is fairly uncontroversial. In fact, frequentist scholars adhere to an interpretation of probability that applies only to such repeatable events. By contrast Bayesian scholars use the language of probability more broadly to formalize reasoning under uncertainty. Bayesian probability is characterized by two unique features: (i) assigning degrees of belief to non-repeatable events, e.g., what is the probability that a dam will collapse?; and (ii) subjectivity. While Bayesian probability provides unambiguous rules for how one should update their beliefs in light of new evidence, it allows for different individuals to start off with different prior beliefs. Statistics helps us to reason backwards, starting off with collection and organization of data and backing out to what inferences we might draw about the process that generated the data. Whenever we analyze a dataset, hunting for patterns that we hope might characterize a broader population, we are employing statistical thinking. Many courses, majors, theses, careers, departments, companies, and institutions have been devoted to the study of probability and statistics. While this section only scratches the surface, we will provide the foundation that you need to begin building models.
확률 Probability 은 불확실성 하에서 추론과 관련된 수학적 분야입니다. 일부 프로세스의 확률적 모델이 주어지면 다양한 이벤트가 발생할 가능성에 대해 추론할 수 있습니다. 반복 가능한 사건(예: 동전 던지기)의 빈도를 설명하기 위해 확률을 사용하는 것은 논란의 여지가 없습니다. 사실, 빈도주의 학자들은 그러한 반복 가능한 사건에만 적용되는 확률의 해석을 고수합니다. 대조적으로 베이지안 학자들은 불확실성 하에서 추론을 공식화하기 위해 확률이라는 언어를 보다 광범위하게 사용합니다. 베이지안 확률은 두 가지 고유한 특징이 특징입니다. (i) 반복 불가능한 사건에 대한 신뢰도 할당(예: 댐이 붕괴할 확률은 얼마입니까?) (ii) 주관성. 베이지안 확률은 새로운 증거에 비추어 자신의 믿음을 업데이트하는 방법에 대한 명확한 규칙을 제공하지만, 개인마다 다른 이전 믿음으로 시작할 수 있습니다. 통계는 데이터 수집 및 구성부터 시작하여 데이터를 생성한 프로세스에 대해 어떤 추론을 이끌어낼 수 있는지 역으로 추론하는 데 도움이 됩니다. 우리는 데이터 세트를 분석하고 더 광범위한 인구를 특징짓는 패턴을 찾을 때마다 통계적 사고를 사용합니다. 많은 과정, 전공, 논문, 경력, 학과, 회사 및 기관에서 확률과 통계 연구에 전념해 왔습니다. 이 섹션에서는 표면적인 내용만 다루지만 모델 구축을 시작하는 데 필요한 기초를 제공합니다.
https://youtu.be/SoKjCUcDBf0?si=M5wjpR8J_O7w3Lai
%matplotlib inline
import random
import torch
from torch.distributions.multinomial import Multinomial
from d2l import torch as d2l
이 코드는 다음 작업을 수행하기 위해 필요한 라이브러리 및 설정을 가져오고 있습니다:
- %matplotlib inline: 이는 IPython 환경에서 Matplotlib를 사용하여 그래프 및 이미지를 노트북에 직접 표시하도록 설정합니다. 즉, 그래프를 노트북 내에서 바로 볼 수 있도록 합니다.
- random: Python의 기본 모듈로서, 무작위 수를 생성하는 데 사용됩니다.
- torch: PyTorch 라이브러리입니다. 딥러닝 작업을 수행하는 데 사용됩니다.
- Multinomial: PyTorch에서 제공하는 분포 클래스 중 하나인 다항 분포(Multinomial distribution)에 대한 모듈입니다. 다항 분포는 여러 범주 중 하나를 샘플링하는 확률 모델을 나타냅니다.
- d2l: "Dive into Deep Learning" 프로젝트의 PyTorch 버전인 d2l(torch) 라이브러리입니다. 딥러닝 모델을 학습하고 시각화하는 데 도움이 되는 기능과 도구를 제공합니다.
이 코드는 딥러닝 모델을 구축하고 실험하기 위한 환경을 설정하는 데 사용될 수 있습니다.
2.6.1. A Simple Example: Tossing Coins
Imagine that we plan to toss a coin and want to quantify how likely we are to see heads (vs. tails). If the coin is fair, then both outcomes (heads and tails), are equally likely. Moreover if we plan to toss the coin n times then the fraction of heads that we expect to see should exactly match the expected fraction of tails. One intuitive way to see this is by symmetry: for every possible outcome with nh heads and nt=(n−nh) tails, there is an equally likely outcome with nt heads and nh tails. Note that this is only possible if on average we expect to see 1/2 of tosses come up heads and 1/2 come up tails. Of course, if you conduct this experiment many times with n=1000000 tosses each, you might never see a trial where nh=nt exactly.
우리가 동전을 던질 계획을 세우고 앞면과 뒷면이 나올 확률을 정량화하고 싶다고 가정해 보세요. 동전이 공정하다면 두 가지 결과(앞면과 뒷면)의 확률은 동일합니다. 더욱이 동전을 n번 던질 계획이라면 우리가 볼 것으로 예상되는 앞면의 비율은 예상되는 뒷면의 비율과 정확히 일치해야 합니다. 이것을 보는 한 가지 직관적인 방법은 대칭을 이용하는 것입니다. nh개의 앞면과 nt=(n−nh)개의 꼬리가 있는 모든 가능한 결과에 대해 nt개의 앞면과 nh개의 꼬리가 있는 동일한 가능성의 결과가 있습니다. 이것은 평균적으로 던진 숫자 중 1/2이 앞면이 나오고 1/2이 뒷면이 나올 것으로 예상하는 경우에만 가능합니다. 물론 n=1000000번 던지기로 이 실험을 여러 번 수행하면 정확히 nh=nt인 실험을 결코 볼 수 없을 수도 있습니다.
Formally, the quantity 1/2 is called a probability and here it captures the certainty with which any given toss will come up heads. Probabilities assign scores between 0 and 1 to outcomes of interest, called events. Here the event of interest is heads and we denote the corresponding probability P(heads). A probability of 1 indicates absolute certainty (imagine a trick coin where both sides were heads) and a probability of 0 indicates impossibility (e.g., if both sides were tails). The frequencies nh/n and nt/n are not probabilities but rather statistics. Probabilities are theoretical quantities that underly the data generating process. Here, the probability 1/2 is a property of the coin itself. By contrast, statistics are empirical quantities that are computed as functions of the observed data. Our interests in probabilistic and statistical quantities are inextricably intertwined. We often design special statistics called estimators that, given a dataset, produce estimates of model parameters such as probabilities. Moreover, when those estimators satisfy a nice property called consistency, our estimates will converge to the corresponding probability. In turn, these inferred probabilities tell about the likely statistical properties of data from the same population that we might encounter in the future.
공식적으로 1/2이라는 수량을 확률이라고 하며 여기서는 주어진 던지기에서 앞면이 나올 확실성을 포착합니다. 확률은 이벤트라고 하는 관심 결과에 0과 1 사이의 점수를 할당합니다. 여기서 관심 있는 이벤트는 앞면이고 해당 확률 P(앞면)를 나타냅니다. 확률 1은 절대적 확실성(양쪽이 앞면인 트릭 코인을 상상해 보세요)을 나타내고 확률 0은 불가능함(예: 양쪽이 뒷면인 경우)을 나타냅니다. 빈도 nh/n 및 nt/n은 확률이 아니라 통계입니다. 확률은 데이터 생성 프로세스의 기초가 되는 이론적 수량입니다. 여기서 확률 1/2은 코인 자체의 속성입니다. 대조적으로, 통계는 관찰된 데이터의 함수로 계산되는 경험적 수량입니다. 확률적 수량과 통계적 수량에 대한 우리의 관심은 서로 밀접하게 얽혀 있습니다. 우리는 주어진 데이터 세트에서 확률과 같은 모델 매개변수의 추정치를 생성하는 추정기라는 특수 통계를 설계하는 경우가 많습니다. 또한 이러한 추정기가 일관성이라는 좋은 속성을 충족하면 추정치가 해당 확률로 수렴됩니다. 결과적으로 이러한 추론된 확률은 우리가 미래에 접할 수 있는 동일한 모집단의 데이터에 대한 통계적 속성에 대해 알려줍니다.
Suppose that we stumbled upon a real coin for which we did not know the true P(heads). To investigate this quantity with statistical methods, we need to (i) collect some data; and (ii) design an estimator. Data acquisition here is easy; we can toss the coin many times and record all the outcomes. Formally, drawing realizations from some underlying random process is called sampling. As you might have guessed, one natural estimator is the ratio of the number of observed heads to the total number of tosses.
우리가 실제 P(앞면)를 알지 못하는 실제 동전을 우연히 발견했다고 가정해 보십시오. 통계적 방법으로 이 수량을 조사하려면 (i) 일부 데이터를 수집해야 합니다. (ii) 추정기를 설계합니다. 여기서 데이터 수집은 쉽습니다. 동전을 여러 번 던지고 모든 결과를 기록할 수 있습니다. 공식적으로는 일부 기본 무작위 프로세스에서 구현한 그림을 샘플링이라고 합니다. 짐작할 수 있듯이 자연 추정량 중 하나는 총 던지기 횟수에 대한 관찰된 앞면 숫자의 비율입니다.
Now, suppose that the coin was in fact fair, i.e., P(heads)=0.5. To simulate tosses of a fair coin, we can invoke any random number generator. There are some easy ways to draw samples of an event with probability 0.5. For example Python’s random.random yields numbers in the interval [0,1] where the probability of lying in any sub-interval [a,b]⊂[0,1] is equal to b−a. Thus we can get out 0 and 1 with probability 0.5 each by testing whether the returned float number is greater than 0.5:
이제 동전이 실제로 공정했다고 가정합니다. 즉, P(heads)=0.5입니다. 공정한 동전 던지기를 시뮬레이션하기 위해 난수 생성기를 호출할 수 있습니다. 확률이 0.5인 사건의 샘플을 추출하는 몇 가지 쉬운 방법이 있습니다. 예를 들어 Python의 random.random은 하위 구간 [a,b]⊂[0,1]에 속할 확률이 b−a와 같은 구간 [0,1]의 숫자를 생성합니다. 따라서 반환된 부동 소수점 숫자가 0.5보다 큰지 테스트하여 각각 0.5 확률로 0과 1을 얻을 수 있습니다.
num_tosses = 100
heads = sum([random.random() > 0.5 for _ in range(num_tosses)])
tails = num_tosses - heads
print("heads, tails: ", [heads, tails])
이 코드는 동전 던지기 실험을 시뮬레이션하는 데 사용됩니다. 다음과 같이 동작합니다:
- num_tosses = 100: num_tosses라는 변수를 정의하고 100으로 설정합니다. 이는 동전을 100번 던지겠다는 것을 나타냅니다.
- heads = sum([random.random() > 0.5 for _ in range(num_tosses)]): heads 변수는 동전 던지기 실험에서 앞면(heads)이 나온 횟수를 나타냅니다. 리스트 내포(list comprehension)를 사용하여 0.5보다 큰 임의의 숫자(0~1 범위)를 100번 생성하고, 이 숫자가 0.5보다 크면(True인 경우), random.random() > 0.5는 1(참)이 됩니다. 그리고 sum() 함수를 사용하여 1의 개수를 세어 앞면(heads) 횟수를 계산합니다.
- tails = num_tosses - heads: tails 변수는 동전 던지기 실험에서 뒷면(tails)이 나온 횟수를 나타냅니다. 전체 던진 횟수(num_tosses)에서 앞면(heads) 횟수를 뺌으로써 얻습니다.
- print("heads, tails: ", [heads, tails]): 앞면(heads) 횟수와 뒷면(tails) 횟수를 출력합니다.
이 코드는 무작위로 동전을 100번 던진 후 앞면(heads)과 뒷면(tails)이 나오는 횟수를 계산하고 출력합니다. 결과는 매번 다를 수 있으며, 대략적으로 동전 던지기의 확률을 시뮬레이션합니다.
heads, tails: [44, 56]



More generally, we can simulate multiple draws from any variable with a finite number of possible outcomes (like the toss of a coin or roll of a die) by calling the multinomial function, setting the first argument to the number of draws and the second as a list of probabilities associated with each of the possible outcomes. To simulate ten tosses of a fair coin, we assign probability vector [0.5, 0.5], interpreting index 0 as heads and index 1 as tails. The function returns a vector with length equal to the number of possible outcomes (here, 2), where the first component tells us the number of occurrences of heads and the second component tells us the number of occurrences of tails.
보다 일반적으로, 다항 함수를 호출하고 첫 번째 인수를 무승부 횟수로 설정하고 두 번째 인수를 가능한 각 결과와 관련된 확률 목록입니다. 공정한 동전 던지기 10회를 시뮬레이션하기 위해 확률 벡터 [0.5, 0.5]를 할당하여 인덱스 0을 앞면으로 해석하고 인덱스 1을 뒷면으로 해석합니다. 이 함수는 가능한 결과 수(여기서는 2)와 동일한 길이의 벡터를 반환합니다. 여기서 첫 번째 구성 요소는 앞면이 나타나는 횟수를 나타내고 두 번째 구성 요소는 꼬리가 나타나는 횟수를 알려줍니다.
fair_probs = torch.tensor([0.5, 0.5])
Multinomial(100, fair_probs).sample()
- 이 코드는 다수의 동전 던지기 실험을 시뮬레이션하는 데 사용됩니다. 코드를 간단히 설명하겠습니다:
- fair_probs = torch.tensor([0.5, 0.5]): fair_probs는 각 동전이 앞면(heads) 또는 뒷면(tails)을 나올 확률을 나타내는 텐서입니다. 여기서 [0.5, 0.5]는 공평한(fair) 동전을 나타내며, 앞면과 뒷면이 나올 확률이 각각 50%입니다.
- Multinomial(100, fair_probs): 이 부분은 Multinomial 분포에서 무작위 표본(sample)을 생성하는데 사용됩니다. 100은 시행 횟수, fair_probs는 각 결과(앞면 또는 뒷면)가 나올 확률을 나타내는 확률 분포입니다.
- .sample(): 이 메서드는 Multinomial 분포를 따르는 난수 생성을 수행합니다. 여기서는 100번의 동전 던지기 시뮬레이션을 수행하며, 각 시행에서 앞면 또는 뒷면이 나오는 횟수를 반환합니다.
tensor([50., 50.])



Each time you run this sampling process, you will receive a new random value that may differ from the previous outcome. Dividing by the number of tosses gives us the frequency of each outcome in our data. Note that these frequencies, just like the probabilities that they are intended to estimate, sum to 1.
이 샘플링 프로세스를 실행할 때마다 이전 결과와 다를 수 있는 새로운 임의 값을 받게 됩니다. 던지는 횟수로 나누면 데이터의 각 결과 빈도를 알 수 있습니다. 추정하려는 확률과 마찬가지로 이러한 빈도의 합은 1이 됩니다.
Multinomial(100, fair_probs).sample() / 100
이 코드는 앞면(heads)과 뒷면(tails)이 나오는 확률이 0.5로 동일한 공평한 동전을 100번 던진 후에 각 결과의 상대 빈도를 계산합니다. 코드를 설명하겠습니다.
- Multinomial(100, fair_probs): 이 부분은 Multinomial 분포에서 100번의 시행을 수행하여 무작위로 결과를 샘플링합니다. 100은 시행 횟수이고, fair_probs는 각 결과(앞면 또는 뒷면)가 나올 확률을 나타내는 확률 분포입니다.
- .sample(): 이 메서드는 Multinomial 분포를 따르는 난수 생성을 수행합니다. 따라서 이 부분의 결과는 [heads_count, tails_count]와 같은 형태의 텐서로, heads_count는 앞면이 나오는 횟수, tails_count는 뒷면이 나오는 횟수를 나타냅니다.
- / 100: 여기서 나눗셈 연산을 수행하여 각 결과의 상대적인 빈도를 계산합니다. 각 결과(앞면 또는 뒷면)의 횟수를 100으로 나누면 각 결과가 나오는 상대적인 확률을 얻을 수 있습니다. 이 결과는 공평한 동전에서 앞면 또는 뒷면이 나올 확률에 가까워질 것이며, 대략적으로 [0.5, 0.5]가 될 것입니다.
즉, 이 코드는 공평한 동전 던지기 실험을 100번 수행하여 앞면과 뒷면의 상대적인 빈도(확률)를 계산합니다.
tensor([0.4800, 0.5200])



Here, even though our simulated coin is fair (we ourselves set the probabilities [0.5, 0.5]), the counts of heads and tails may not be identical. That is because we only drew a relatively small number of samples. If we did not implement the simulation ourselves, and only saw the outcome, how would we know if the coin were slightly unfair or if the possible deviation from 1/2 was just an artifact of the small sample size? Let’s see what happens when we simulate 10,000 tosses.
여기서, 시뮬레이션된 코인이 공정하더라도(우리가 직접 확률 [0.5, 0.5] 설정) 앞면과 뒷면의 개수가 동일하지 않을 수 있습니다. 그 이유는 상대적으로 적은 수의 샘플만 추출했기 때문입니다. 시뮬레이션을 직접 구현하지 않고 결과만 본다면 동전이 약간 불공평한지, 아니면 1/2에서 벗어날 수 있는 편차가 단지 작은 샘플 크기의 인공물인지 어떻게 알 수 있습니까? 10,000번의 던지기를 시뮬레이션하면 어떤 일이 일어나는지 살펴보겠습니다.
counts = Multinomial(10000, fair_probs).sample()
counts / 10000
이 코드는 공평한 동전을 10,000번 던지고, 그 결과를 사용하여 각 결과(앞면 또는 뒷면)의 상대적인 확률을 계산합니다. 코드를 단계별로 설명하겠습니다.
- Multinomial(10000, fair_probs): 이 부분은 Multinomial 분포에서 10,000번의 시행을 수행하여 무작위로 결과를 샘플링합니다. 10,000은 시행 횟수이고, fair_probs는 각 결과(앞면 또는 뒷면)가 나올 확률을 나타내는 확률 분포입니다. 이 부분에서는 10,000번의 독립적인 동전 던지기 시뮬레이션을 수행합니다.
- .sample(): 이 메서드는 Multinomial 분포를 따르는 난수 생성을 수행합니다. 따라서 이 부분의 결과는 [heads_count, tails_count]와 같은 형태의 텐서로, heads_count는 앞면이 나오는 횟수, tails_count는 뒷면이 나오는 횟수를 나타냅니다.
- / 10,000: 마지막으로, 각 결과(앞면 또는 뒷면)의 횟수를 10,000으로 나누면 각 결과가 나오는 상대적인 확률을 얻을 수 있습니다. 이 결과는 공평한 동전에서 앞면 또는 뒷면이 나오는 확률에 가까워질 것이며, 대략적으로 [0.5, 0.5]가 될 것입니다.
따라서 이 코드는 공평한 동전 던지기 실험을 10,000번 수행하여 앞면과 뒷면의 상대적인 빈도(확률)를 계산합니다.
tensor([0.4966, 0.5034])



In general, for averages of repeated events (like coin tosses), as the number of repetitions grows, our estimates are guaranteed to converge to the true underlying probabilities. The mathematical formulation of this phenomenon is called the law of large numbers and the central limit theorem tells us that in many situations, as the sample size n grows, these errors should go down at a rate of (1/√n). Let's get some more intuition by studying how our estimate evolves as we grow the number of tosses from 1 to 10,000.
일반적으로 반복되는 사건(예: 동전 던지기)의 평균의 경우 반복 횟수가 증가함에 따라 우리의 추정치는 실제 기본 확률로 수렴됩니다. 이 현상의 수학적 공식을 대수의 법칙이라고 하며 중심 극한 정리는 많은 상황에서 표본 크기 n이 커짐에 따라 이러한 오류가 (1/√n)의 비율로 감소해야 함을 알려줍니다. 던지기 횟수를 1회에서 10,000회까지 증가시키면서 추정치가 어떻게 변화하는지 연구하여 좀 더 직관력을 갖도록 합시다.
counts = Multinomial(1, fair_probs).sample((10000,))
cum_counts = counts.cumsum(dim=0)
estimates = cum_counts / cum_counts.sum(dim=1, keepdims=True)
estimates = estimates.numpy()
d2l.set_figsize((4.5, 3.5))
d2l.plt.plot(estimates[:, 0], label=("P(coin=heads)"))
d2l.plt.plot(estimates[:, 1], label=("P(coin=tails)"))
d2l.plt.axhline(y=0.5, color='black', linestyle='dashed')
d2l.plt.gca().set_xlabel('Samples')
d2l.plt.gca().set_ylabel('Estimated probability')
d2l.plt.legend();
이 코드는 공평한 동전 던지기 실험에서 상대적인 확률을 추정하고 그 추정치를 그래프로 표현하는 부분입니다.
- counts = Multinomial(1, fair_probs).sample((10000,)): 이 부분은 공평한 동전을 1번 던질 때, 앞면(coin=heads) 또는 뒷면(coin=tails)이 나오는 횟수를 10,000번 샘플링합니다. counts는 10,000번의 시뮬레이션 결과를 담고 있는 텐서입니다.
- cum_counts = counts.cumsum(dim=0): 누적 횟수(cumulative counts)를 계산합니다. 이것은 각 시뮬레이션 스텝에서 앞면과 뒷면의 상대적인 누적 횟수를 나타냅니다.
- estimates = cum_counts / cum_counts.sum(dim=1, keepdims=True): 이 부분에서는 누적 횟수를 누적 합으로 나눠 상대적인 확률을 계산합니다. 이것은 각 시뮬레이션 스텝에서 앞면과 뒷면의 상대적인 확률을 나타냅니다.
- estimates = estimates.numpy(): 계산된 확률 추정치를 NumPy 배열로 변환합니다.
- 그래프를 그리는 부분: 계산된 확률 추정치를 이용하여 앞면(coin=heads)과 뒷면(coin=tails)의 확률 변화를 그래프로 표현합니다. d2l.plt.plot(estimates[:, 0], label=("P(coin=heads)"))는 앞면의 확률을 나타내는 그래프를 그리고, d2l.plt.plot(estimates[:, 1], label=("P(coin=tails)"))는 뒷면의 확률을 나타내는 그래프를 그립니다. d2l.plt.axhline(y=0.5, color='black', linestyle='dashed')는 확률 0.5에 수평 점선을 추가합니다. 나머지 코드는 그래프의 레이블과 축 이름을 설정하고 범례를 추가합니다.
결과적으로 이 코드는 공평한 동전 던지기 실험에서 시뮬레이션된 결과를 기반으로 앞면과 뒷면의 확률을 추정하고, 그 추정치를 그래프로 시각화합니다. 동전 던지기 시뮬레이션 횟수가 증가함에 따라 추정치가 공평한 동전의 확률(0.5)로 수렴하는 것을 관찰할 수 있습니다.




Each solid curve corresponds to one of the two values of the coin and gives our estimated probability that the coin turns up that value after each group of experiments. The dashed black line gives the true underlying probability. As we get more data by conducting more experiments, the curves converge towards the true probability. You might already begin to see the shape of some of the more advanced questions that preoccupy statisticians: How quickly does this convergence happen? If we had already tested many coins manufactured at the same plant, how might we incorporate this information?
각 실선은 동전의 두 값 중 하나에 해당하며 각 실험 그룹 후에 동전이 해당 값을 나타낼 확률을 추정합니다. 검은 점선은 실제 기본 확률을 나타냅니다. 더 많은 실험을 수행하여 더 많은 데이터를 얻을수록 곡선은 실제 확률로 수렴됩니다. 통계학자들을 사로잡는 고급 질문 중 일부의 형태가 이미 보이기 시작했을 수도 있습니다. 이 수렴은 얼마나 빨리 발생합니까? 동일한 공장에서 제조된 많은 동전을 이미 테스트했다면 이 정보를 어떻게 통합할 수 있을까요?
2.6.2. A More Formal Treatment
We have already gotten pretty far: posing a probabilistic model, generating synthetic data, running a statistical estimator, empirically assessing convergence, and reporting error metrics (checking the deviation). However, to go much further, we will need to be more precise.
우리는 이미 확률 모델 제시, 합성 데이터 생성, 통계 추정기 실행, 경험적 수렴 평가, 오류 측정항목 보고(편차 확인) 등 꽤 많은 작업을 수행했습니다. 그러나 더 나아가려면 더 정확해야 합니다.
When dealing with randomness, we denote the set of possible outcomes S and call it the sample space or outcome space. Here, each element is a distinct possible outcome. In the case of rolling a single coin, S={heads,tails}. For a single die, S={1,2,3,4,5,6}. When flipping two coins, possible outcomes are {(heads,heads),(heads,tails),(tails,heads),(tails,tails)}. Events are subsets of the sample space. For instance, the event “the first coin toss comes up heads” corresponds to the set {(heads,heads),(heads,tails)}. Whenever the outcome z of a random experiment satisfies z∈A, then event A has occurred. For a single roll of a die, we could define the events “seeing a 5” (A={5}) and “seeing an odd number” (B={1,3,5}). In this case, if the die came up 5, we would say that both A and B occurred. On the other hand, if z=3, then A did not occur but B did.
무작위성을 다룰 때 가능한 결과 집합 S를 표시하고 이를 표본 공간 또는 결과 공간이라고 부릅니다. 여기서 각 요소는 서로 다른 가능한 결과입니다. 단일 동전을 굴리는 경우 S={heads,tails}입니다. 단일 주사위의 경우 S={1,2,3,4,5,6}입니다. 두 개의 동전을 뒤집을 때 가능한 결과는 {(앞면, 앞면),(앞면,뒷면),(뒷면,앞면),(뒷면,뒷면)}입니다. 사건은 표본 공간의 부분 집합입니다. 예를 들어, "첫 번째 동전 던지기에서 앞면이 나옵니다" 이벤트는 {(앞면, 앞면),(앞면, 뒷면)} 집합에 해당합니다. 무작위 실험의 결과 z가 z∈A를 충족할 때마다 사건 A가 발생합니다. 주사위를 한 번 굴릴 때 "5를 보는 것"(A={5})과 "홀수를 보는 것"(B={1,3,5}) 이벤트를 정의할 수 있습니다. 이 경우 주사위가 5가 나오면 A와 B가 모두 발생했다고 말할 수 있습니다. 반면, z=3이면 A는 발생하지 않았지만 B는 발생했습니다.
A probability function maps events onto real values P:A⊆S→[0,1]. The probability, denoted P(A), of an event A in the given sample space S, has the following properties:
확률 함수는 사건을 실제 값 P:A⊆S→[0,1]에 매핑합니다. 주어진 표본 공간 S에서 사건 A의 확률 P(A)는 다음과 같은 속성을 갖습니다.
- The probability of any event A is a nonnegative real number, i.e., P(A)≥0;
- 어떤 사건 A의 확률은 음이 아닌 실수입니다. 즉, P(A)≥0입니다.
- The probability of the entire sample space is 1, i.e., P(S)=1;
- 전체 표본 공간의 확률은 1입니다. 즉, P(S)=1입니다.
- For any countable sequence of events A1,A2,… that are mutually exclusive (i.e., Ai∩Aj=∅ for all i≠j), the probability that any of them happens is equal to the sum of their individual probabilities, i.e., P(⋃i=1∞ Ai)=∑i=1∞ P(Ai).
- 상호 배타적인 사건 A1,A2,…의 셀 수 있는 시퀀스에 대해(즉, 모든 i≠j에 대해 Ai∩Aj=∅), 그 중 하나가 발생할 확률은 개별 확률의 합과 같습니다. 즉, P(⋃i=1∞ Ai)=∑i=1∞ P(Ai).
These axioms of probability theory, proposed by Kolmogorov (1933), can be applied to rapidly derive a number of important consequences. For instance, it follows immediately that the probability of any event A or its complement A′ occurring is 1 (because A∪A′=S). We can also prove that P(∅)=0 because 1=P(S∪S′)=P(S∪∅)=P(S)+P(∅)=1+P(∅). Consequently, the probability of any event A and its complement A′ occurring simultaneously is P(A∩A′)=0. Informally, this tells us that impossible events have zero probability of occurring.
Kolmogorov(1933)가 제안한 확률 이론의 이러한 공리는 여러 가지 중요한 결과를 신속하게 도출하는 데 적용될 수 있습니다. 예를 들어, 임의의 사건 A 또는 그 보수 A'가 발생할 확률은 1입니다(A∪A'=S이기 때문에). 1=P(S∪S′)=P(S∪∅)=P(S)+P(∅)=1+P(∅)이기 때문에 P(∅)=0임을 증명할 수도 있습니다. 결과적으로, 사건 A와 그 보수 A'가 동시에 발생할 확률은 P(A∩A')=0입니다. 비공식적으로 이는 불가능한 사건이 발생할 확률이 0이라는 것을 알려줍니다.
2.6.3. Random Variables
When we spoke about events like the roll of a die coming up odds or the first coin toss coming up heads, we were invoking the idea of a random variable. Formally, random variables are mappings from an underlying sample space to a set of (possibly many) values. You might wonder how a random variable is different from the sample space, since both are collections of outcomes. Importantly, random variables can be much coarser than the raw sample space. We can define a binary random variable like “greater than 0.5” even when the underlying sample space is infinite, e.g., points on the line segment between 0 and 1. Additionally, multiple random variables can share the same underlying sample space. For example “whether my home alarm goes off” and “whether my house was burgled” are both binary random variables that share an underlying sample space. Consequently, knowing the value taken by one random variable can tell us something about the likely value of another random variable. Knowing that the alarm went off, we might suspect that the house was likely burgled.
주사위를 굴려 앞면이 나올 확률이나 첫 번째 동전 던지기에서 앞면이 나올 때와 같은 사건에 대해 이야기할 때 우리는 무작위 변수라는 아이디어를 떠올렸습니다. 공식적으로 확률 변수는 기본 표본 공간에서 (아마도 많은) 값 세트로의 매핑입니다. 둘 다 결과 모음이기 때문에 확률 변수가 표본 공간과 어떻게 다른지 궁금할 것입니다. 중요한 것은 확률 변수가 원시 표본 공간보다 훨씬 더 거칠 수 있다는 것입니다. 기본 표본 공간이 무한하더라도(예: 0과 1 사이 선분의 점) "0.5보다 큼"과 같은 이진 확률 변수를 정의할 수 있습니다. 또한 여러 확률 변수가 동일한 기본 표본 공간을 공유할 수 있습니다. 예를 들어 "내 집 알람이 울리는지 여부"와 "내 집에 도난이 발생했는지 여부"는 모두 기본 표본 공간을 공유하는 이진 무작위 변수입니다. 결과적으로, 하나의 무작위 변수가 취하는 값을 알면 다른 무작위 변수의 가능한 값에 대해 알 수 있습니다. 경보기가 울렸다는 것을 알면 집에 도둑이 들었을 가능성이 있다고 의심할 수 있습니다.
Every value taken by a random variable corresponds to a subset of the underlying sample space. Thus the occurrence where the random variable X takes value v, denoted by X=v, is an event and P(X=v) denotes its probability. Sometimes this notation can get clunky, and we can abuse notation when the context is clear. For example, we might use P(X) to refer broadly to the distribution of X, i.e., the function that tells us the probability that X takes any given value. Other times we write expressions like P(X,Y)=P(X)P(Y), as a shorthand to express a statement that is true for all of the values that the random variables X and Y can take, i.e., for all i,j it holds that P(X=i and Y=j)=P(X=i)P(Y=j). Other times, we abuse notation by writing P(v) when the random variable is clear from the context. Since an event in probability theory is a set of outcomes from the sample space, we can specify a range of values for a random variable to take. For example, P(1≤X≤3) denotes the probability of the event {1≤X≤3}.
무작위 변수가 취한 모든 값은 기본 표본 공간의 하위 집합에 해당합니다. 따라서 확률 변수 X가 X=v로 표시되는 값 v를 취하는 발생은 이벤트이고 P(X=v)는 해당 확률을 나타냅니다. 때로는 이 표기법이 투박해질 수 있으며, 문맥이 명확할 때 표기법을 남용할 수 있습니다. 예를 들어, P(X)를 사용하여 X의 분포, 즉 X가 주어진 값을 취할 확률을 알려주는 함수를 광범위하게 나타낼 수 있습니다. 다른 경우에는 확률 변수 X와 Y가 취할 수 있는 모든 값에 대해 참인 진술을 표현하기 위해 P(X,Y)=P(X)P(Y)와 같은 표현식을 작성합니다. 모든 i,j는 P(X=i and Y=j)=P(X=i)P(Y=j)를 유지합니다. 다른 경우에는 무작위 변수가 문맥에서 명확할 때 P(v)를 작성하여 표기법을 남용합니다. 확률 이론의 사건은 표본 공간의 결과 집합이므로 무작위 변수가 취할 값의 범위를 지정할 수 있습니다. 예를 들어 P(1<X<<3)은 사건 {1<<X<<3}의 확률을 나타냅니다.
Note that there is a subtle difference between discrete random variables, like flips of a coin or tosses of a die, and continuous ones, like the weight and the height of a person sampled at random from the population. In this case we seldom really care about someone’s exact height. Moreover, if we took precise enough measurements, we would find that no two people on the planet have the exact same height. In fact, with fine enough measurements, you would never have the same height when you wake up and when you go to sleep. There is little point in asking about the exact probability that someone is 1.801392782910287192 meters tall. Instead, we typically care more about being able to say whether someone’s height falls into a given interval, say between 1.79 and 1.81 meters. In these cases we work with probability densities. The height of exactly 1.80 meters has no probability, but nonzero density. To work out the probability assigned to an interval, we must take an integral of the density over that interval.
동전 던지기나 주사위 던지기와 같은 이산형 확률 변수와 모집단에서 무작위로 추출된 사람의 체중 및 키와 같은 연속 변수 사이에는 미묘한 차이가 있습니다. 이 경우 우리는 누군가의 정확한 키에 대해 거의 신경 쓰지 않습니다. 더욱이, 우리가 충분히 정확하게 측정한다면, 지구상에 정확히 같은 키를 가진 사람은 두 명도 없다는 것을 알게 될 것입니다. 사실, 충분히 세밀하게 측정하면 잠에서 깰 때와 잠에 들 때의 키가 결코 같지 않을 것입니다. 누군가의 키가 1.801392782910287192미터일 정확한 확률에 대해 묻는 것은 별 의미가 없습니다. 대신, 우리는 일반적으로 누군가의 키가 주어진 간격, 즉 1.79미터에서 1.81미터 사이에 속하는지 여부를 말할 수 있는지에 더 관심을 둡니다. 이 경우 우리는 확률 밀도를 사용하여 작업합니다. 정확히 1.80미터의 높이는 확률은 없지만 밀도는 0이 아닙니다. 구간에 할당된 확률을 계산하려면 해당 구간에 대한 밀도를 적분해야 합니다.
2.6.4. Multiple Random Variables
You might have noticed that we could not even make it through the previous section without making statements involving interactions among multiple random variables (recall P(X,Y)=P(X)P(Y)). Most of machine learning is concerned with such relationships. Here, the sample space would be the population of interest, say customers who transact with a business, photographs on the Internet, or proteins known to biologists. Each random variable would represent the (unknown) value of a different attribute. Whenever we sample an individual from the population, we observe a realization of each of the random variables. Because the values taken by random variables correspond to subsets of the sample space that could be overlapping, partially overlapping, or entirely disjoint, knowing the value taken by one random variable can cause us to update our beliefs about which values of another random variable are likely. If a patient walks into a hospital and we observe that they are having trouble breathing and have lost their sense of smell, then we believe that they are more likely to have COVID-19 than we might if they had no trouble breathing and a perfectly ordinary sense of smell.
여러 확률 변수 간의 상호 작용을 포함하는 진술을 작성하지 않고는 이전 섹션을 완료할 수도 없다는 점을 눈치챘을 것입니다(P(X,Y)=P(X)P(Y)를 기억하세요). 대부분의 기계 학습은 이러한 관계와 관련이 있습니다. 여기서 표본 공간은 관심 모집단, 즉 기업과 거래하는 고객, 인터넷 사진, 생물학자에게 알려진 단백질이 될 것입니다. 각 무작위 변수는 다른 속성의 (알 수 없는) 값을 나타냅니다. 모집단에서 개인을 샘플링할 때마다 각 무작위 변수가 실현되는 것을 관찰합니다. 무작위 변수가 취한 값은 중복되거나, 부분적으로 겹치거나, 완전히 분리될 수 있는 표본 공간의 하위 집합에 해당하기 때문에, 하나의 무작위 변수가 취한 값을 알면 다른 무작위 변수의 어떤 값이 가능성이 높은지에 대한 우리의 믿음을 업데이트할 수 있습니다. . 환자가 병원에 들어왔을 때 호흡 곤란을 겪고 후각을 잃은 것을 관찰하면, 우리는 호흡 곤란이 없고 완전히 평범한 후각이 있는 경우보다 코로나19에 걸릴 가능성이 더 높다고 믿습니다.
When working with multiple random variables, we can construct events corresponding to every combination of values that the variables can jointly take. The probability function that assigns probabilities to each of these combinations (e.g. A=a and B=b) is called the joint probability function and simply returns the probability assigned to the intersection of the corresponding subsets of the sample space. The joint probability assigned to the event where random variables A and B take values a and b, respectively, is denoted P(A=a,B=b), where the comma indicates “and”. Note that for any values a and b, it follows that
여러 확률 변수를 사용하여 작업할 때 변수가 공동으로 취할 수 있는 모든 값 조합에 해당하는 이벤트를 구성할 수 있습니다. 이러한 각 조합(예: A=a 및 B=b)에 확률을 할당하는 확률 함수를 결합 확률 함수라고 하며 단순히 표본 공간의 해당 하위 집합의 교차점에 할당된 확률을 반환합니다. 확률 변수 A와 B가 각각 a와 b 값을 갖는 사건에 할당된 결합 확률은 P(A=a,B=b)로 표시되며, 여기서 쉼표는 "and"를 나타냅니다. 임의의 값 a와 b에 대해 다음이 따른다는 점에 유의하십시오.

since for A=a and B=b to happen, A=a has to happen and B=b also has to happen. Interestingly, the joint probability tells us all that we can know about these random variables in a probabilistic sense, and can be used to derive many other useful quantities, including recovering the individual distributions P(A) and P(B). To recover P(A=a) we simply sum up P(A=a,B=v) over all values v that the random variable B can take: P(A=a)=∑vP(A=a,B=v).
A=a와 B=b가 발생하려면 A=a가 발생해야 하고 B=b도 발생해야 하기 때문입니다. 흥미롭게도 결합 확률은 우리가 확률적 의미에서 이러한 확률 변수에 대해 알 수 있는 모든 것을 알려주고 개별 분포 P(A) 및 P(B)를 복구하는 것을 포함하여 다른 많은 유용한 양을 도출하는 데 사용될 수 있습니다. P(A=a)를 복구하려면 모든 값 v에 대해 P(A=a,B=v)를 간단히 합산하면 됩니다.확률 변수 B는 P(A=a)=∑vP(A=a,B=v)를 취할 수 있습니다.
The ratio P(A=a,B=b)/P(A=a)≤1 turns out to be extremely important. It is called the conditional probability, and is denoted via the “∣” symbol:
P(A=a,B=b)/P(A=a)≤1 비율은 매우 중요합니다. 조건부 확률이라고 하며 "∣" 기호로 표시됩니다.

It tells us the new probability associated with the event B=b, once we condition on the fact A=a took place. We can think of this conditional probability as restricting attention only to the subset of the sample space associated with A=a and then renormalizing so that all probabilities sum to 1. Conditional probabilities are in fact just ordinary probabilities and thus respect all of the axioms, as long as we condition all terms on the same event and thus restrict attention to the same sample space. For instance, for disjoint events B and B′, we have that P(B∪B′∣A=a)=P(B∣A=a)+P(B′∣A=a).
A=a가 발생했다는 사실을 조건으로 하면 사건 B=b와 관련된 새로운 확률을 알려줍니다. 이 조건부 확률은 A=a와 관련된 표본 공간의 하위 집합에만 주의를 제한하고 모든 확률의 합이 1이 되도록 재정규화하는 것으로 생각할 수 있습니다. 조건부 확률은 실제로 일반적인 확률이므로 모든 공리를 존중합니다. 모든 항을 동일한 사건에 대해 조건을 지정하여 동일한 표본 공간에 주의를 기울이는 한. 예를 들어, 분리된 사건 B와 B'에 대해 P(B∪B'∣A=a)=P(B∣A=a)+P(B'∣A=a)가 됩니다.
Using the definition of conditional probabilities, we can derive the famous result called Bayes’ theorem. By construction, we have that P(A,B)=P(B∣A)P(A) and P(A,B)=P(A∣B)P(B). Combining both equations yields P(B∣A)P(A) = P(A∣B)P(B) and hence
조건부 확률의 정의를 사용하면 베이즈 정리라는 유명한 결과를 도출할 수 있습니다. 구성에 따르면 P(A,B)=P(B∣A)P(A) 및 P(A,B)=P(A∣B)P(B)가 있습니다. 두 방정식을 결합하면 P(B∣A)P(A) = P(A∣B)P(B)가 생성되므로

Bayes' theorem 이란?
베이즈 정리(Bayes' theorem)는 확률 이론의 중요한 개념 중 하나로, 조건부 확률을 계산하는 데 사용됩니다. 이 정리는 머신 러닝, 통계학, 확률 이론, 생물학, 의학, 자연어 처리 및 다양한 분야에서 다양한 응용을 가지고 있습니다. 베이즈 정리는 역사적으로 영국의 수학자 토머스 베이즈(Thomas Bayes)의 이름을 따서 명명되었습니다.
베이즈 정리의 일반적인 형태는 다음과 같습니다:
P(A|B) = (P(B|A) * P(A)) / P(B)
여기서 각 요소의 의미는 다음과 같습니다:
- P(A|B): 사건 B가 발생한 조건에서 사건 A가 발생할 확률, 즉 A의 조건부 확률.
- P(B|A): 사건 A가 발생한 조건에서 사건 B가 발생할 확률, 즉 B의 조건부 확률.
- P(A): 사건 A가 발생할 사전 확률.
- P(B): 사건 B가 발생할 사전 확률.
베이즈 정리의 주요 아이디어는 조건부 확률을 계산할 때, 사전 확률과 관련 사건들 간의 확률을 사용하여 업데이트할 수 있다는 것입니다. 즉, 사건 B가 발생한 후에는 사건 A의 확률을 더 정확하게 추정할 수 있습니다.
베이즈 정리의 응용 분야 중 하나는 베이지안 통계(Bayesian statistics)입니다. 이 방법론은 불확실성을 다루는데 특히 유용하며, 사후 확률을 업데이트하고 불확실성을 줄이는 데 활용됩니다. 머신 러닝에서는 베이지안 모델링을 통해 다양한 문제를 해결하고 불확실성을 고려한 예측을 수행하는데 사용됩니다.
베이즈 정리는 많은 현실 세계의 문제를 다루는데 유용한 도구로, 사후 확률을 업데이트하고 불확실성을 처리하기 위해 다양한 분야에서 활발하게 사용됩니다.
This simple equation has profound implications because it allows us to reverse the order of conditioning. If we know how to estimate P(B∣A), P(A), and P(B), then we can estimate P(A∣B). We often find it easier to estimate one term directly but not the other and Bayes’ theorem can come to the rescue here. For instance, if we know the prevalence of symptoms for a given disease, and the overall prevalences of the disease and symptoms, respectively, we can determine how likely someone is to have the disease based on their symptoms. In some cases we might not have direct access to P(B), such as the prevalence of symptoms. In this case a simplified version of Bayes’ theorem comes in handy:
이 간단한 방정식은 조건화 순서를 뒤집을 수 있기 때문에 심오한 의미를 갖습니다. P(B∣A), P(A), P(B)를 추정하는 방법을 안다면 P(A∣B)를 추정할 수 있습니다. 우리는 종종 한 항을 직접 추정하는 것이 더 쉽지만 다른 항은 그렇지 않다는 것을 알게 되며 여기서 베이즈 정리가 도움이 될 수 있습니다. 예를 들어, 특정 질병에 대한 증상의 유병률과 질병 및 증상의 전반적인 유병률을 각각 안다면 증상을 기반으로 누군가가 질병에 걸릴 가능성이 얼마나 되는지 판단할 수 있습니다. 어떤 경우에는 증상의 유병률과 같이 P(B)에 직접 접근할 수 없을 수도 있습니다. 이 경우 베이즈 정리의 단순화된 버전이 유용합니다.

Since we know that P(A∣B) must be normalized to 1, i.e., ∑aP(A=a∣B)=1, we can use it to compute
P(A∣B)가 1로 정규화되어야 함, 즉 ∑aP(A=a∣B)=1이라는 것을 알고 있으므로 이를 사용하여 계산할 수 있습니다.

In Bayesian statistics, we think of an observer as possessing some (subjective) prior beliefs about the plausibility of the available hypotheses encoded in the prior P(H), and a likelihood function that says how likely one is to observe any value of the collected evidence for each of the hypotheses in the class P(E∣H). Bayes’ theorem is then interpreted as telling us how to update the initial prior P(H) in light of the available evidence E to produce posterior beliefs P(H∣E) = P(E∣H)P(H)/P(E). Informally, this can be stated as “posterior equals prior times likelihood, divided by the evidence”. Now, because the evidence P(E) is the same for all hypotheses, we can get away with simply normalizing over the hypotheses.
베이지안 통계에서 우리는 관찰자가 사전 P(H)에 인코딩된 사용 가능한 가설의 타당성에 대한 일부 (주관적) 사전 신념과 수집된 값을 관찰할 가능성이 얼마나 되는지 알려주는 우도 함수를 보유하고 있다고 생각합니다. P(E∣H) 클래스의 각 가설에 대한 증거. 베이즈 정리는 사후 신념 P(H∣E) = P(E∣H)P(H)/P(E)를 생성하기 위해 이용 가능한 증거 E에 비추어 초기 사전 P(H)를 업데이트하는 방법을 알려주는 것으로 해석됩니다. 비공식적으로, 이는 "사후는 이전 가능성과 증거를 나눈 값과 동일합니다"라고 말할 수 있습니다. 이제 증거 P(E)는 모든 가설에 대해 동일하므로 단순히 가설에 대해 정규화하면 됩니다.
Note that ∑aP(A=a∣B)=1 also allows us to marginalize over random variables. That is, we can drop variables from a joint distribution such as P(A,B). After all, we have that Independence is another fundamentally important concept that forms the backbone of many important ideas in statistics.
∑aP(A=a∣B)=1을 사용하면 무작위 변수를 소외시킬 수도 있습니다. 즉, P(A,B)와 같은 결합 분포에서 변수를 삭제할 수 있습니다. 결국 우리는 독립성이 통계학의 많은 중요한 아이디어의 중추를 형성하는 또 다른 근본적으로 중요한 개념이라는 것을 알고 있습니다.

In short, two variables are independent if conditioning on the value of A does not cause any change to the probability distribution associated with B and vice versa. More formally, independence, denoted A⊥B, requires that P(A∣B) = P(A) and, consequently, that P(A,B) = P(A∣B)P(B) = P(A)P(B). Independence is often an appropriate assumption. For example, if the random variable A represents the outcome from tossing one fair coin and the random variable B represents the outcome from tossing another, then knowing whether A came up heads should not influence the probability of B coming up heads.
간단히 말해서, A 값에 대한 조건이 B와 관련된 확률 분포에 어떠한 변화도 일으키지 않고 그 반대의 경우에도 두 변수는 독립적입니다. 보다 공식적으로, A⊥B로 표시되는 독립성은 P(A∣B) = P(A)를 요구하며 결과적으로 P(A,B) = P(A∣B)P(B) = P(A)를 충족해야 합니다. P(B). 독립성은 종종 적절한 가정입니다. 예를 들어, 확률 변수 A가 공정한 동전 하나를 던진 결과를 나타내고 확률 변수 B가 다른 동전을 던진 결과를 나타내는 경우 A가 앞면이 나오는지 여부를 아는 것이 B가 앞면이 나올 확률에 영향을 주어서는 안 됩니다.
Independence is especially useful when it holds among the successive draws of our data from some underlying distribution (allowing us to make strong statistical conclusions) or when it holds among various variables in our data, allowing us to work with simpler models that encode this independence structure. On the other hand, estimating the dependencies among random variables is often the very aim of learning. We care to estimate the probability of disease given symptoms specifically because we believe that diseases and symptoms are not independent.
독립성은 일부 기본 분포에서 데이터를 연속적으로 추출할 때(강력한 통계적 결론을 내릴 수 있음) 데이터의 다양한 변수 간에 유지될 때 특히 유용하며 이 독립성 구조를 인코딩하는 더 간단한 모델로 작업할 수 있습니다. 반면, 확률 변수 간의 종속성을 추정하는 것이 학습의 목적인 경우가 많습니다. 우리는 질병과 증상이 독립적이지 않다고 믿기 때문에 특정 증상에 따른 질병의 확률을 추정하는 데 관심을 둡니다.
Note that because conditional probabilities are proper probabilities, the concepts of independence and dependence also apply to them. Two random variables A and B are conditionally independent given a third variable C if and only if P(A,B∣C) = P(A∣C)P(B∣C). Interestingly, two variables can be independent in general but become dependent when conditioning on a third. This often occurs when the two random variables A and B correspond to causes of some third variable C. For example, broken bones and lung cancer might be independent in the general population but if we condition on being in the hospital then we might find that broken bones are negatively correlated with lung cancer. That is because the broken bone explains away why some person is in the hospital and thus lowers the probability that they are hospitalized because of having lung cancer.
조건부 확률은 고유 확률이므로 독립성과 종속성의 개념도 적용됩니다. 두 개의 확률 변수 A와 B는 P(A,B∣C) = P(A∣C)P(B∣C)인 경우에만 세 번째 변수 C가 주어지면 조건부 독립입니다. 흥미롭게도 두 변수는 일반적으로 독립적일 수 있지만 세 번째 변수에 조건을 적용하면 종속성이 됩니다. 이는 두 개의 무작위 변수 A와 B가 세 번째 변수 C의 원인에 해당할 때 자주 발생합니다. 예를 들어, 부러진 뼈와 폐암은 일반 인구 집단에서는 독립적일 수 있지만 병원에 입원하는 것을 조건으로 하면 뼈가 부러진 것을 발견할 수 있습니다. 뼈는 폐암과 음의 상관관계가 있습니다. 이는 부러진 뼈가 어떤 사람이 병원에 있는 이유를 설명하여 폐암으로 인해 입원할 가능성을 낮추기 때문입니다.
And conversely, two dependent random variables can become independent upon conditioning on a third. This often happens when two otherwise unrelated events have a common cause. Shoe size and reading level are highly correlated among elementary school students, but this correlation disappears if we condition on age.
그리고 반대로, 두 개의 종속 확률 변수는 세 번째 변수에 대한 조건에 따라 독립 변수가 될 수 있습니다. 이는 서로 관련이 없는 두 가지 사건에 공통 원인이 있는 경우에 자주 발생합니다. 신발 사이즈와 독서 수준은 초등학생 사이에서 높은 상관관계가 있지만, 연령을 조건으로 하면 이러한 상관관계가 사라집니다.
2.6.5. An Example
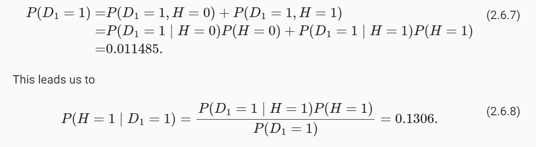
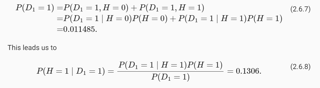
Let’s put our skills to the test. Assume that a doctor administers an HIV test to a patient. This test is fairly accurate and fails only with 1% probability if the patient is healthy but reported as diseased, i.e., healthy patients test positive in 1% of cases. Moreover, it never fails to detect HIV if the patient actually has it. We use D1∈{0,1} to indicate the diagnosis (0 if negative and 1 if positive) and H∈{0,1} to denote the HIV status.
우리의 능력을 시험해 봅시다. 의사가 환자에게 HIV 테스트를 실시한다고 가정합니다. 이 테스트는 매우 정확하며 환자가 건강하지만 질병이 있는 것으로 보고된 경우, 즉 건강한 환자가 1%의 사례에서 양성 반응을 보이는 경우 1% 확률로만 실패합니다. 더욱이, 환자가 실제로 HIV에 감염되어 있는 경우에도 HIV를 탐지하는 데 실패하지 않습니다. D1∈{0,1}을 사용하여 진단(음성인 경우 0, 양성인 경우 1)을 나타내고 H∈{0,1}을 사용하여 HIV 상태를 나타냅니다.

Note that the column sums are all 1 (but the row sums do not), since they are conditional probabilities. Let’s compute the probability of the patient having HIV if the test comes back positive, i.e., P(H=1∣D1=1). Intuitively this is going to depend on how common the disease is, since it affects the number of false alarms. Assume that the population is fairly free of the disease, e.g., P(H=1)=0.0015. To apply Bayes’ theorem, we need to apply marginalization to determine
조건부 확률이므로 열 합은 모두 1입니다(행 합은 그렇지 않음). 검사 결과가 양성으로 나오면 환자가 HIV에 감염될 확률을 계산해 보겠습니다(예: P(H=1∣D1=1)). 직관적으로 이것은 잘못된 경보의 수에 영향을 미치기 때문에 질병이 얼마나 흔한지에 따라 달라집니다. 인구에 질병이 전혀 없다고 가정합니다(예: P(H=1)=0.0015). 베이즈 정리를 적용하려면 주변화를 적용하여 다음을 결정해야 합니다.

In other words, there is only a 13.06% chance that the patient actually has HIV, despite the test being pretty accurate. As we can see, probability can be counterintuitive. What should a patient do upon receiving such terrifying news? Likely, the patient would ask the physician to administer another test to get clarity. The second test has different characteristics and it is not as good as the first one.
즉, 테스트가 매우 정확함에도 불구하고 환자가 실제로 HIV에 감염될 확률은 13.06%에 불과합니다. 보시다시피 확률은 직관에 반할 수 있습니다. 이런 무서운 소식을 접한 환자는 어떻게 해야 할까요? 아마도 환자는 명확성을 얻기 위해 의사에게 또 다른 검사를 실시해 달라고 요청할 것입니다. 두 번째 테스트는 특성이 다르고 첫 번째 테스트만큼 좋지 않습니다.

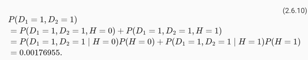
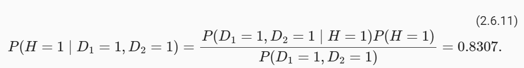
Unfortunately, the second test comes back positive, too. Let’s calculate the requisite probabilities to invoke Bayes’ theorem by assuming conditional independence:
불행히도 두 번째 테스트에서도 양성 반응이 나왔습니다. 조건부 독립을 가정하여 베이즈 정리를 적용하는 데 필요한 확률을 계산해 보겠습니다.

Now we can apply marginalization to obtain the probability that both tests come back positive:
이제 우리는 소외화를 적용하여 두 테스트가 모두 양성으로 돌아올 확률을 얻을 수 있습니다.

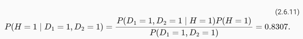
Finally, the probability of the patient having HIV given that both tests are positive is
마지막으로, 두 검사 모두 양성인 경우 환자가 HIV에 감염될 확률은 다음과 같습니다.

That is, the second test allowed us to gain much higher confidence that not all is well. Despite the second test being considerably less accurate than the first one, it still significantly improved our estimate. The assumption of both tests being conditionally independent of each other was crucial for our ability to generate a more accurate estimate. Take the extreme case where we run the same test twice. In this situation we would expect the same outcome both times, hence no additional insight is gained from running the same test again. The astute reader might have noticed that the diagnosis behaved like a classifier hiding in plain sight where our ability to decide whether a patient is healthy increases as we obtain more features (test outcomes).
즉, 두 번째 테스트를 통해 우리는 모든 것이 좋지 않다는 훨씬 더 높은 확신을 얻을 수 있었습니다. 두 번째 테스트는 첫 번째 테스트보다 정확도가 상당히 떨어졌음에도 불구하고 여전히 우리의 추정치를 크게 향상시켰습니다. 두 테스트가 서로 조건부 독립이라는 가정은 보다 정확한 추정치를 생성하는 데 매우 중요했습니다. 동일한 테스트를 두 번 실행하는 극단적인 경우를 생각해 보겠습니다. 이 상황에서는 두 번 모두 동일한 결과가 나올 것으로 예상되므로 동일한 테스트를 다시 실행해도 추가적인 통찰력을 얻을 수 없습니다. 기민한 독자는 진단이 더 많은 특징(테스트 결과)을 얻을수록 환자의 건강 여부를 결정하는 능력이 증가하는 눈에 잘 띄는 곳에 숨어 있는 분류기처럼 행동한다는 것을 알아차렸을 것입니다.
2.6.6. Expectations
Often, making decisions requires not just looking at the probabilities assigned to individual events but composing them together into useful aggregates that can provide us with guidance. For example, when random variables take continuous scalar values, we often care about knowing what value to expect on average. This quantity is formally called an expectation. If we are making investments, the first quantity of interest might be the return we can expect, averaging over all the possible outcomes (and weighting by the appropriate probabilities). For instance, say that with 50% probability, an investment might fail altogether, with 40% probability it might provide a 2× return, and with 10% probability it might provide a 10× return 10×. To calculate the expected return, we sum over all returns, multiplying each by the probability that they will occur. This yields the expectation 0.5⋅0+0.4⋅2+0.1⋅10=1.8. Hence the expected return is 1.8×.
종종 결정을 내리려면 개별 사건에 할당된 확률을 살펴보는 것뿐만 아니라 지침을 제공할 수 있는 유용한 집계로 이를 함께 구성해야 합니다. 예를 들어, 확률 변수가 연속적인 스칼라 값을 취하는 경우 우리는 평균적으로 어떤 값을 기대하는지 아는 데 종종 관심을 갖습니다. 이 수량을 공식적으로 기대값이라고 합니다. 투자를 하는 경우 첫 번째 관심 수량은 가능한 모든 결과에 대한 평균을 계산하고 적절한 확률에 따라 가중치를 부여하여 기대할 수 있는 수익일 수 있습니다. 예를 들어, 50% 확률로 투자가 완전히 실패할 수 있고, 40% 확률로 2배의 수익을 제공할 수 있으며, 10% 확률로 10배의 수익을 제공할 수 있다고 가정해 보겠습니다. 기대 수익을 계산하기 위해 우리는 모든 수익을 합산하고 각 수익에 발생할 확률을 곱합니다. 이는 기대값 0.5⋅0+0.4⋅2+0.1⋅10=1.8을 산출합니다. 따라서 기대수익률은 1.8×입니다.
In general, the expectation (or average) of the random variable X is defined as
일반적으로 확률 변수 X의 기대값(또는 평균)은 다음과 같이 정의됩니다.

Likewise, for densities we obtain E[X]=∫x dp(x). Sometimes we are interested in the expected value of some function of x. We can calculate these expectations as
마찬가지로 밀도의 경우 E[X]=∫xdp(x)를 얻습니다. 때때로 우리는 x의 어떤 함수의 기대값에 관심이 있습니다. 우리는 이러한 기대치를 다음과 같이 계산할 수 있습니다.

for discrete probabilities and densities, respectively. Returning to the investment example from above, f might be the utility (happiness) associated with the return. Behavior economists have long noted that people associate greater disutility with losing money than the utility gained from earning one dollar relative to their baseline. Moreover, the value of money tends to be sub-linear. Possessing 100k dollars versus zero dollars can make the difference between paying the rent, eating well, and enjoying quality healthcare versus suffering through homelessness. On the other hand, the gains due to possessing 200k versus 100k are less dramatic. Reasoning like this motivates the cliché that “the utility of money is logarithmic”.
이산 확률과 밀도에 대해 각각. 위의 투자 예로 돌아가면, f는 수익과 관련된 효용(행복)일 수 있습니다. 행동경제학자들은 사람들이 자신의 기준에 비해 1달러를 벌어서 얻는 효용보다 돈을 잃는 데 더 큰 비효용성을 연관시킨다는 점을 오랫동안 지적해 왔습니다. 더욱이 화폐의 가치는 준선형적인 경향이 있습니다. 10만 달러를 소유하는 것과 0달러를 소유하는 것은 집세를 내고, 잘 먹고, 양질의 의료 서비스를 받는 것과 노숙자로 고통받는 것 사이의 차이를 만들 수 있습니다. 반면에 200,000개와 100,000개를 소유함으로써 얻을 수 있는 이득은 덜 극적입니다. 이런 추론은 “돈의 효용은 대수적이다”라는 상투적인 말을 하게 만든다.
If the utility associated with a total loss were −1, and the utilities associated with returns of 1, 2, and 10 were 1, 2 and 4, respectively, then the expected happiness of investing would be 0.5⋅(−1)+0.4⋅2+0.1⋅4=0.7 (an expected loss of utility of 30%). If indeed this were your utility function, you might be best off keeping the money in the bank.
총 손실과 관련된 효용이 −1이고 수익 1, 2, 10과 관련된 효용이 각각 1, 2, 4라면 투자의 기대 행복은 0.5⋅(−1)+0.4가 됩니다. ⋅2+0.1⋅4=0.7(예상 효용 손실 30%). 실제로 이것이 유틸리티 기능이라면 돈을 은행에 보관하는 것이 가장 좋습니다.
For financial decisions, we might also want to measure how risky an investment is. Here, we care not just about the expected value but how much the actual values tend to vary relative to this value. Note that we cannot just take the expectation of the difference between the actual and expected values. This is because the expectation of a difference is the difference of the expectations, i.e., E[X−E[X]]=E[X]−E[E[X]]=0. However, we can look at the expectation of any non-negative function of this difference. The variance of a random variable is calculated by looking at the expected value of the squared differences:
재정적 결정을 위해 투자가 얼마나 위험한지 측정하고 싶을 수도 있습니다. 여기서는 기대값뿐만 아니라 이 값에 비해 실제 값이 얼마나 달라지는 경향이 있는지도 중요합니다. 실제 값과 예상 값의 차이를 기대하는 것만으로는 충분하지 않습니다. 이는 차이에 대한 기대가 기대의 차이, 즉 E[X−E[X]]=E[X]−E[E[X]]=0이기 때문입니다. 그러나 우리는 이 차이의 음이 아닌 함수에 대한 기대를 살펴볼 수 있습니다. 확률 변수의 분산은 차이 제곱의 기대값을 확인하여 계산됩니다.

Here the equality follows by expanding (X−E[X])**2 = X**2 − 2XE[X]+E[X]**2 and taking expectations for each term. The square root of the variance is another useful quantity called the standard deviation. While this and the variance convey the same information (either can be calculated from the other), the standard deviation has the nice property that it is expressed in the same units as the original quantity represented by the random variable.
여기서는 (X−E[X])**2 = X**2 − 2XE[X]+E[X]**2를 확장하고 각 항에 대한 기대값을 취하여 동등성을 따릅니다. 분산의 제곱근은 표준편차라고 불리는 또 다른 유용한 양입니다. 이것과 분산은 동일한 정보를 전달하지만(둘 중 하나를 다른 것으로 계산할 수 있음), 표준 편차는 랜덤 변수가 나타내는 원래 양과 동일한 단위로 표현된다는 좋은 속성을 가지고 있습니다.
Lastly, the variance of a function of a random variable is defined analogously as
마지막으로, 확률 변수의 함수 분산은 다음과 유사하게 정의됩니다.

Returning to our investment example, we can now compute the variance of the investment. It is given by 0.5⋅0+0.4⋅2**2+0.1⋅10**2−1.8**2=8.36. For all intents and purposes this is a risky investment. Note that by mathematical convention mean and variance are often referenced as μ and σ**2. This is particularly the case whenever we use it to parametrize a Gaussian distribution.
투자 예로 돌아가서 이제 투자의 분산을 계산할 수 있습니다. 이는 0.5⋅0+0.4⋅2**2+0.1⋅10**2−1.8**2=8.36으로 제공됩니다. 모든 의도와 목적을 위해 이것은 위험한 투자입니다. 수학적 관례에 따라 평균과 분산은 종종 μ 및 σ**2로 참조됩니다. 특히 가우스 분포를 매개변수화하는 데 사용할 때마다 그렇습니다.
In the same way as we introduced expectations and variance for scalar random variables, we can do so for vector-valued ones. Expectations are easy, since we can apply them elementwise. For instance, μ def= Ex∼p[x] has coordinates μ i = Ex∼p[xi]. Covariances are more complicated. We define them by taking expectations of the outer product of the difference between random variables and their mean:
스칼라 확률 변수에 대한 기대치와 분산을 도입한 것과 같은 방식으로 벡터 값 변수에 대해서도 그렇게 할 수 있습니다. 요소별로 적용할 수 있으므로 기대하기 쉽습니다. 예를 들어 μ def= Ex∼p[x]는 μ i = Ex∼p[xi] 좌표를 갖는다. 공분산은 더 복잡합니다. 우리는 확률 변수와 평균 간의 차이에 대한 외부 곱을 기대하여 이를 정의합니다.

This matrix ∑ is referred to as the covariance matrix. An easy way to see its effect is to consider some vector v of the same size as x. It follows that

As such, ∑ allows us to compute the variance for any linear function of x by a simple matrix multiplication. The off-diagonal elements tell us how correlated the coordinates are: a value of 0 means no correlation, where a larger positive value means that they are more strongly correlated.
따라서 ∑를 사용하면 간단한 행렬 곱셈을 통해 x의 모든 선형 함수에 대한 분산을 계산할 수 있습니다. 비대각선 요소는 좌표의 상관 관계를 알려줍니다. 값이 0이면 상관 관계가 없음을 의미하고 양수 값이 클수록 상관 관계가 더 강하다는 의미입니다.
2.6.7. Discussion
In machine learning, there are many things to be uncertain about! We can be uncertain about the value of a label given an input. We can be uncertain about the estimated value of a parameter. We can even be uncertain about whether data arriving at deployment is even from the same distribution as the training data.
머신러닝에는 불확실한 부분이 많습니다! 입력이 주어지면 레이블의 값이 불확실할 수 있습니다. 매개변수의 추정값이 불확실할 수 있습니다. 배포 시 도착하는 데이터가 교육 데이터와 동일한 분포에서 나온 것인지 여부도 불확실할 수 있습니다.
By aleatoric uncertainty, we mean uncertainty that is intrinsic to the problem, and due to genuine randomness unaccounted for by the observed variables. By epistemic uncertainty, we mean uncertainty over a model’s parameters, the sort of uncertainty that we can hope to reduce by collecting more data. We might have epistemic uncertainty concerning the probability that a coin turns up heads, but even once we know this probability, we are left with aleatoric uncertainty about the outcome of any future toss. No matter how long we watch someone tossing a fair coin, we will never be more or less than 50% certain that the next toss will come up heads. These terms come from mechanical modeling, (see e.g., Der Kiureghian and Ditlevsen (2009) for a review on this aspect of uncertainty quantification). It is worth noting, however, that these terms constitute a slight abuse of language. The term epistemic refers to anything concerning knowledge and thus, in the philosophical sense, all uncertainty is epistemic.
우연적 불확실성이란 문제에 내재된 불확실성, 관찰된 변수에 의해 설명되지 않는 진정한 무작위성으로 인한 불확실성을 의미합니다. 인식론적 불확실성이란 모델 매개변수에 대한 불확실성, 즉 더 많은 데이터를 수집하여 줄일 수 있는 불확실성을 의미합니다. 동전이 앞면이 나올 확률에 대해 인식론적 불확실성이 있을 수 있지만, 이 확률을 알더라도 미래 던지기의 결과에 대한 우연적 불확실성이 남아 있습니다. 누군가가 공정한 동전을 던지는 것을 얼마나 오랫동안 지켜보더라도 우리는 다음 번 던질 때 앞면이 나올 것이라는 확신을 50% 이상 또는 이하로 결코 확신할 수 없습니다. 이러한 용어는 기계적 모델링에서 유래되었습니다(불확도 정량화의 이러한 측면에 대한 검토는 Der Kiureghian 및 Ditlevsen(2009) 참조). 그러나 이러한 용어가 약간의 언어 남용을 구성한다는 점은 주목할 가치가 있습니다. 인식론이라는 용어는 지식에 관한 모든 것을 의미하므로 철학적 의미에서 모든 불확실성은 인식론적입니다.
We saw that sampling data from some unknown probability distribution can provide us with information that can be used to estimate the parameters of the data generating distribution. That said, the rate at which this is possible can be quite slow. In our coin tossing example (and many others) we can do no better than to design estimators that converge at a rate of 1/ √ n, where n is the sample size (e.g., the number of tosses). This means that by going from 10 to 1000 observations (usually a very achievable task) we see a tenfold reduction of uncertainty, whereas the next 1000 observations help comparatively little, offering only a 1.41 times reduction. This is a persistent feature of machine learning: while there are often easy gains, it takes a very large amount of data, and often with it an enormous amount of computation, to make further gains. For an empirical review of this fact for large scale language models see Revels et al. (2016).
우리는 알려지지 않은 확률 분포의 샘플링 데이터가 데이터 생성 분포의 매개변수를 추정하는 데 사용할 수 있는 정보를 제공할 수 있음을 확인했습니다. 즉, 이것이 가능한 속도는 상당히 느릴 수 있습니다. 동전 던지기 예제(및 기타 여러 예제)에서 우리는 1/ √n의 비율로 수렴하는 추정기를 설계하는 것보다 더 나은 것을 할 수 없습니다. 여기서 n은 표본 크기(예: 던지기 횟수)입니다. 이는 10개에서 1000개의 관측값(일반적으로 매우 달성 가능한 작업)으로 이동하면 불확실성이 10배 감소한 반면, 다음 1000개의 관측값은 1.41배만 감소하여 비교적 거의 도움이 되지 않는다는 것을 의미합니다. 이는 기계 학습의 지속적인 특징입니다. 쉽게 얻을 수 있는 경우가 많지만 추가 이득을 얻으려면 매우 많은 양의 데이터와 엄청난 양의 계산이 필요한 경우가 많습니다. 대규모 언어 모델에 대한 이 사실에 대한 실증적 검토는 Revels et al. (2016).
We also sharpened our language and tools for statistical modeling. In the process of that we learned about conditional probabilities and about one of the most important equations in statistics—Bayes’ theorem. It is an effective tool for decoupling information conveyed by data through a likelihood term P(B∣A) that addresses how well observations B match a choice of parameters A, and a prior probability P(A) which governs how plausible a particular choice of A was in the first place. In particular, we saw how this rule can be applied to assign probabilities to diagnoses, based on the efficacy of the test and the prevalence of the disease itself (i.e., our prior).
우리는 또한 통계 모델링을 위한 언어와 도구를 개선했습니다. 그 과정에서 우리는 조건부 확률과 통계에서 가장 중요한 방정식 중 하나인 베이즈 정리에 대해 배웠습니다. 이는 관측치 B가 매개변수 A의 선택과 얼마나 잘 일치하는지를 다루는 가능성 항 P(B∣A)와 매개변수 A의 선택이 얼마나 타당한지를 제어하는 사전 확률 P(A)를 통해 데이터에 의해 전달되는 정보를 분리하는 효과적인 도구입니다. A가 먼저였다. 특히, 우리는 테스트의 효능과 질병 자체의 유병률(예: 이전)을 기반으로 진단에 확률을 할당하기 위해 이 규칙을 적용할 수 있는 방법을 살펴보았습니다.
Lastly, we introduced a first set of nontrivial questions about the effect of a specific probability distribution, namely expectations and variances. While there are many more than just linear and quadratic expectations for a probability distribution, these two already provide a good deal of knowledge about the possible behavior of the distribution. For instance, Chebyshev’s inequality states that P(X|X− μ|≥k σ)≤1/k**2, where μ is the expectation, σ**2 is the variance of the distribution, and k>1 is a confidence parameter of our choosing. It tells us that draws from a distribution lie with at least 50% probability within a [− √ 2σ , √ 2σ ] interval centered on the expectation.
마지막으로, 특정 확률 분포, 즉 기대값과 분산의 효과에 대한 첫 번째 중요하지 않은 질문 세트를 소개했습니다. 확률 분포에 대한 선형 및 2차 기대치보다 더 많은 것이 있지만 이 두 가지는 이미 분포의 가능한 동작에 대한 많은 지식을 제공합니다. 예를 들어, 체비쇼프 부등식은 P(X|X− μ|≥k σ)≤1/k**2라고 말합니다. 여기서 μ는 기대값이고, σ**2는 분포의 분산이고, k>1은 우리가 선택한 신뢰 매개변수. 이는 기대값을 중심으로 [− √ 2σ , √ 2σ ] 간격 내에서 최소 50% 확률로 분포 거짓말에서 도출된다는 것을 알려줍니다.
2.6.8. Exercises
- Give an example where observing more data can reduce the amount of uncertainty about the outcome to an arbitrarily low level.
더 많은 데이터를 관찰하면 결과에 대한 불확실성을 임의로 낮은 수준으로 줄일 수 있는 예를 들어보세요. - Give an example where observing more data will only reduce the amount of uncertainty up to a point and then no further. Explain why this is the case and where you expect this point to occur.
더 많은 데이터를 관찰하면 불확실성의 양이 어느 정도 줄어들 뿐 그 이상은 줄어들지 않는 예를 들어보세요. 왜 이런 일이 발생하는지, 그리고 이러한 상황이 어디서 발생할 것으로 예상하는지 설명하세요. - We empirically demonstrated convergence to the mean for the toss of a coin. Calculate the variance of the estimate of the probability that we see a head after drawing n samples.
우리는 동전 던지기의 평균에 대한 수렴을 경험적으로 증명했습니다. n개의 샘플을 뽑은 후 머리가 보일 확률 추정치의 분산을 계산합니다.
- How does the variance scale with the number of observations?
관측치 수에 따라 분산이 어떻게 확장되나요? - Use Chebyshev’s inequality to bound the deviation from the expectation.
체비쇼프 부등식을 사용하여 기대치로부터의 편차를 제한합니다. - How does it relate to the central limit theorem?
중심극한정리와 어떤 관련이 있나요?
- How does the variance scale with the number of observations?

'Dive into Deep Learning > D2L Preliminaries' 카테고리의 다른 글
| D2L - 2.7. Documentation (2) | 2023.10.14 |
|---|---|
| D2L - 2.5. Automatic Differentiation (0) | 2023.10.12 |
| D2L - 2.4. Calculus : 미적분 (1) | 2023.10.12 |
| D2L - 2.3. Linear Algebra - 선형 대수학 (1) | 2023.10.11 |
| D2L - 2.2. Data Preprocessing (0) | 2023.10.09 |
| D2L - 2.1. Data Manipulation (0) | 2023.10.09 |
| D2L - 2. Preliminaries (0) | 2023.10.09 |